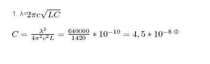
Определите период
и частоту колебательного контура, длину волны, если индуктивность
катушки постоянна и равна 2 мкГн, а емкость конденсатора изменяется
С, пФ 140
t, мкс 340
Ответы
Ответ дал:
0
Вот так. Надеюсь теперь все ок
Приложения:

Ответ дал:
0
уже 4 мин ))
Ответ дал:
0
все
Ответ дал:
0
и это все
Ответ дал:
0
да
Вас заинтересует
10 лет назад
10 лет назад