• Предмет: Математика
  • Автор: сандра061001
  • Вопрос задан 10 лет назад

Задача:
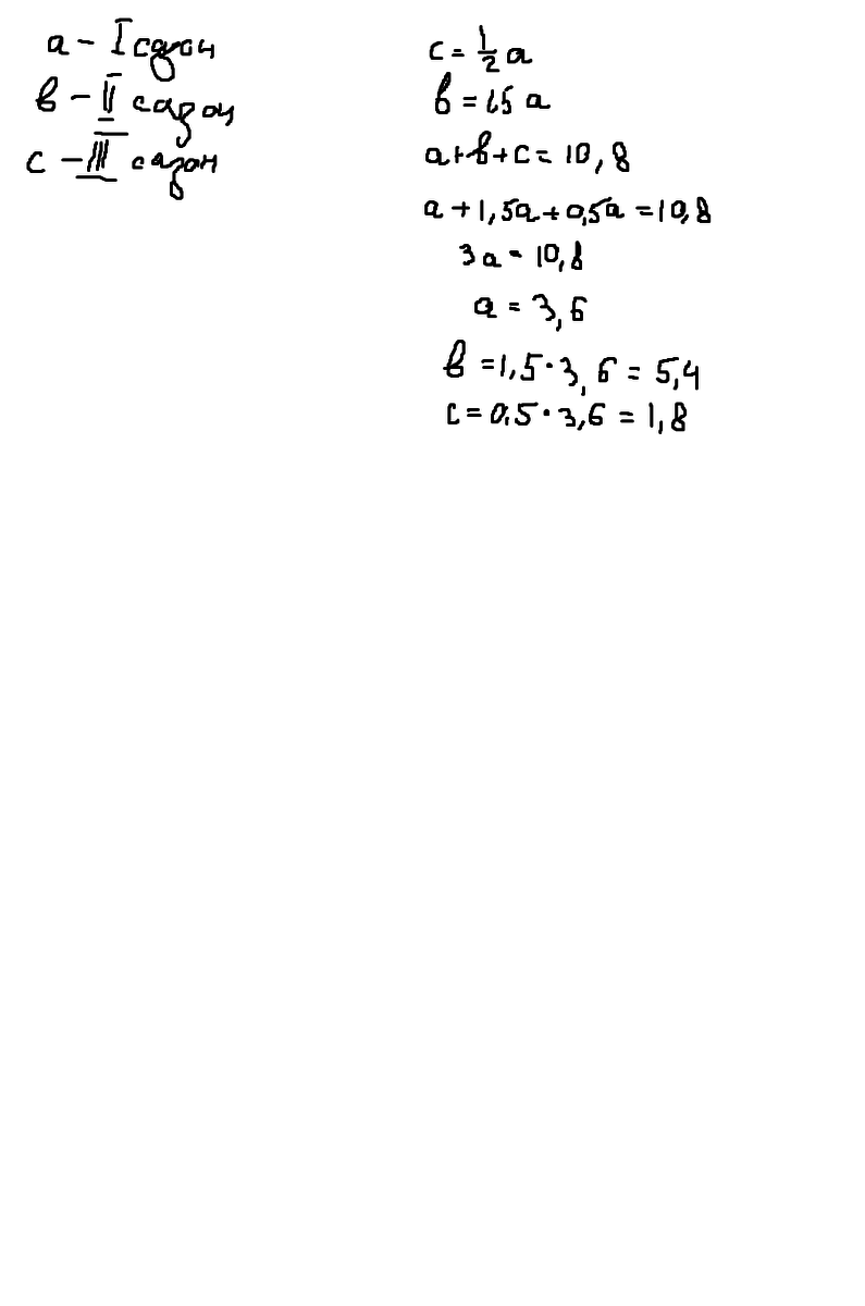
Масса трёх сазанов 10.8кг.Масса третьего сазана составляла 50% массы первого,масса второго-в 1.5 раза больше массы первого.Найдите массу каждого сазана.

Ответы

Ответ дал: animotsy
0
Ответ 3,6 и 5,4 и 1,8
Приложения:
Ответ дал: animotsy
0
=)
Вас заинтересует