Ответы
Ответ дал:
0
Если понравилось решение - нажимай "спасибо" и "лучший" (рядом с кнопкой "спасибо") :)
Приложения:
Ответ дал:
0
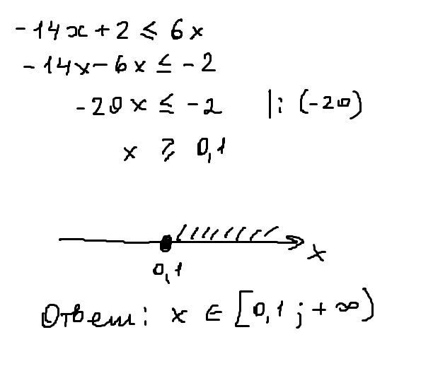
-14x-6x=<-2
-20x=<-2
20x>=2
x>=1/10
x принадлежит интервалу от [1/10 до + бесконечности)
-20x=<-2
20x>=2
x>=1/10
x принадлежит интервалу от [1/10 до + бесконечности)
Приложения:
Вас заинтересует
3 года назад
3 года назад
8 лет назад
8 лет назад
11 лет назад
11 лет назад
11 лет назад