Ответы
Ответ дал:
0
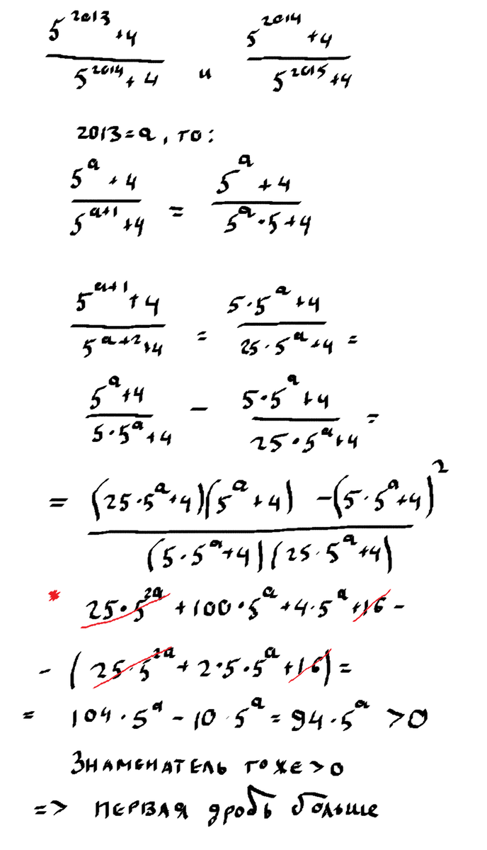
Первая будет больше дробь...
Приложения:

Ответ дал:
0
что-то уж слишком сложно получается..Вы в каком классе учитесь?
Ответ дал:
0
7....................
Ответ дал:
0
http://znanija.com/task/6345870 поможете?
Ответ дал:
0
ну там как бы степень так раскладывается..Их потом еще нужно под один знаменатель записать...
Ответ дал:
0
ну это вроде как решила...
Вас заинтересует
2 года назад
8 лет назад
8 лет назад
10 лет назад
10 лет назад
10 лет назад