• Предмет: Алгебра
  • Автор: qwertyhappy
  • Вопрос задан 10 лет назад

Помогите алгебра 8 класс 
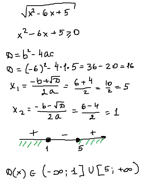
Найдите область определения выражения:

Приложения:

Ответы

Ответ дал: esmilya
0
Если понравилось решение - нажимай "спасибо" и "лучший" (рядом с кнопкой "спасибо") :)
Приложения:
Вас заинтересует