Ответы
Ответ дал:
0
Получится вот так :)
Приложения:
Ответ дал:
0
Попробую разобраться :DDСпасибо большое :D
Ответ дал:
0
пожалуйста)
Ответ дал:
0
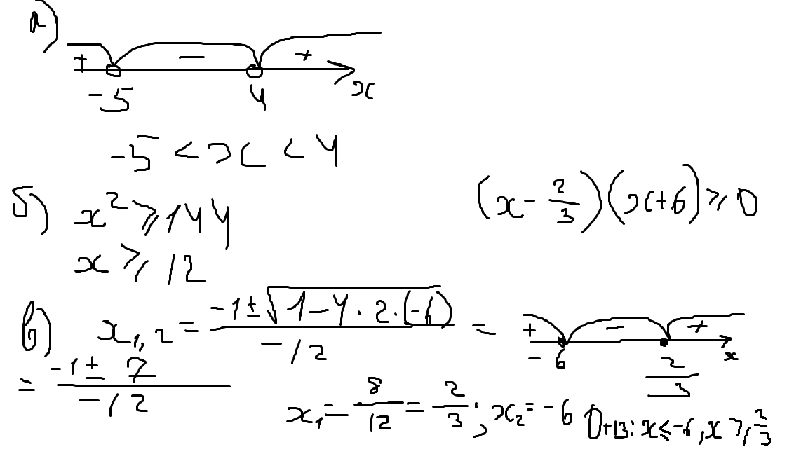
а)(х-4)(х+5)<0
х^2+х-20<0
х^2+х-20=0
D=1+80=81
x1=4
x2=-5
ответ:(минус бесконечность;-5)
б)х^2-144>=0
х^2>=144
х>=+-12
ответ: [12;+ бесконечность)
в)-6х^2+х+2>=0
-6х^2+х+2=0
D=1+48=49
x1=-0.5
x2=0.6
ответ:[0.6;+ бесконечность)
х^2+х-20<0
х^2+х-20=0
D=1+80=81
x1=4
x2=-5
ответ:(минус бесконечность;-5)
б)х^2-144>=0
х^2>=144
х>=+-12
ответ: [12;+ бесконечность)
в)-6х^2+х+2>=0
-6х^2+х+2=0
D=1+48=49
x1=-0.5
x2=0.6
ответ:[0.6;+ бесконечность)
Приложения:
Ответ дал:
0
Спасибо)
Вас заинтересует
3 года назад
3 года назад
8 лет назад
8 лет назад
11 лет назад
11 лет назад
11 лет назад