• Предмет: Геометрия
  • Автор: 96Ekaterina96
  • Вопрос задан 11 лет назад

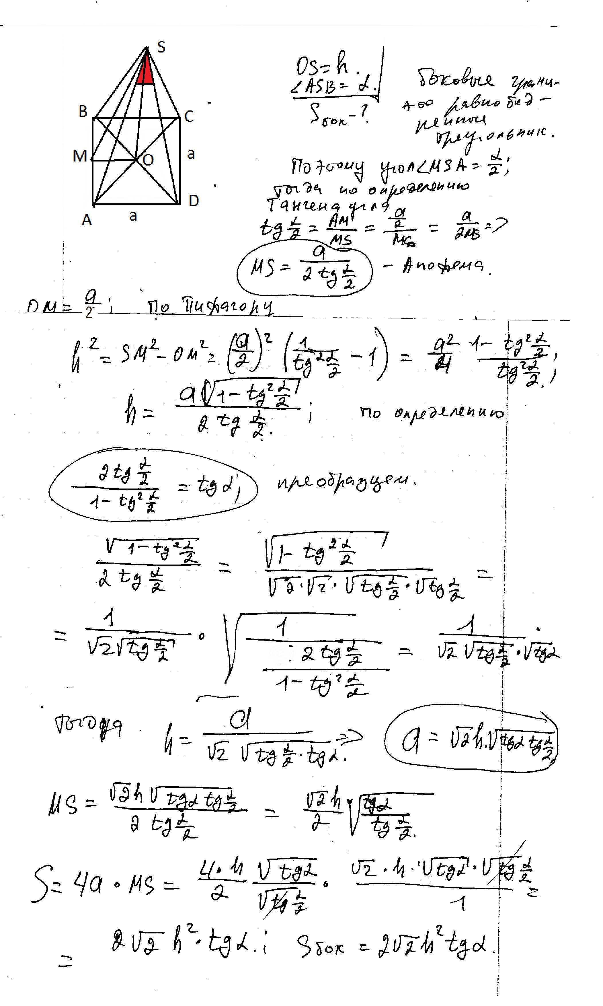
1.В правильной четырехугольной пирамиде высота равна h, плоский угол при вершине равен а. Найдите площадь боковой поверхности.


2.Основание параллепипеда с боковым ребром b-квадрат со стороной a. Одна из вершин верхнего основания равноудалена от вершин нижнего основания. Найдите площадь полной поверхности.

 

Прошу, помогите решить.

Ответы

Ответ дал: ужнеужели
0
решение в скане. ...........
Приложения:
Вас заинтересует