• Предмет: Математика
  • Автор: otzbiv4uva9
  • Вопрос задан 10 лет назад

ребяточки,помогите пожалуйста,ДАЮ САМЫЙ ВЫСОКИЙ БАЛЛ:*

Приложения:

Ответы

Ответ дал: Ekaterina1819
0
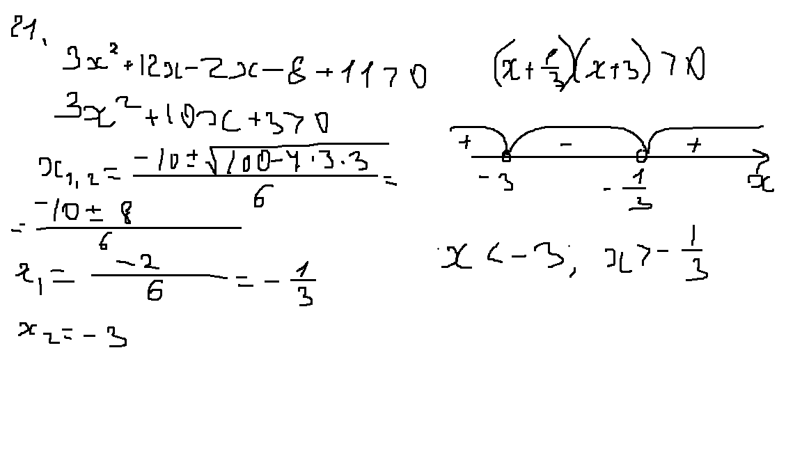
Получится вот так вот.
Приложения:
Ответ дал: otzbiv4uva9
0
ладно,если можешь,то помоги с задачей(
Ответ дал: otzbiv4uva9
0
спасибо,пока)
Вас заинтересует