• Предмет: Алгебра
  • Автор: kenankrut
  • Вопрос задан 10 лет назад

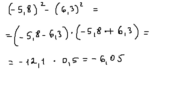
вычислите разность квадратов чисел -5,8 и 6,3

Ответы

Ответ дал: esmilya
0
Если понравилось решение - нажимай "спасибо" и "лучший" (рядом с кнопкой "спасибо") :)
Приложения:
Вас заинтересует