• Предмет: Геометрия
  • Автор: ustinovalex5
  • Вопрос задан 10 лет назад

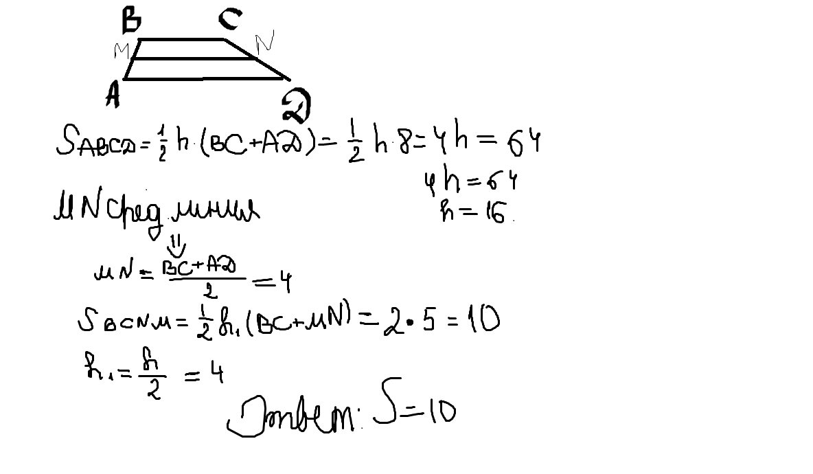
В трапеции ABCD основания АD и ВС равны 7 и 1. соответственно,а её площадь равна 64. Найдите площадь трапеции ВСNM, где MN- средняя линия трапеции ABCD/

Ответы

Ответ дал: Natascha7809
0
на картинке всё написано
Приложения:
Вас заинтересует