Помогите пожалуйста решить задачу по физике и если можно,вкратце объяснить как вы её решили. Чему равно увеличение линзы,если расстояние от предмета до линзы 5 см,а от линзы до изображения 20 см? И определите пожалуйста фокус :3
Ответы
Ответ дал:
0
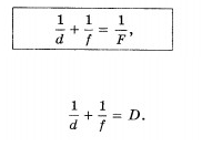
все решается по этим формулам
где f- расстояние от изображения до линзы, а d - расстояние от предмета до линзы.
при простых подсчетах получается, что увеличение D=0.2, а фокус F=4
где f- расстояние от изображения до линзы, а d - расстояние от предмета до линзы.
при простых подсчетах получается, что увеличение D=0.2, а фокус F=4
Приложения:

Ответ дал:
0
Вроде бы так:..........
Приложения:




Вас заинтересует
10 лет назад
10 лет назад
10 лет назад