Ответы
Ответ дал:
0
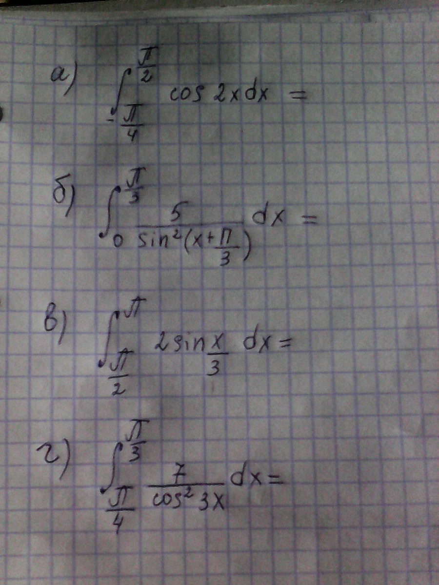
а)=1/2sin2x=1/2*1+1/2*√2/2=1/2+√2/4=(2+√2)/4
б)=-ctg(x+π/4)=ctgπ/12+1
в)=-6cos(x/3)=-6cosπ/3+6cosπ/2=-6*1/2 + 6*0=-3
г)=7/3 *tg3x=7/3tgπ-7/3tg(3π/4)=7/3*0-7/3*(-1)=7/3
б)=-ctg(x+π/4)=ctgπ/12+1
в)=-6cos(x/3)=-6cosπ/3+6cosπ/2=-6*1/2 + 6*0=-3
г)=7/3 *tg3x=7/3tgπ-7/3tg(3π/4)=7/3*0-7/3*(-1)=7/3
Ответ дал:
0
http://znanija.com/task/6364858 отзовитесь спасите!!
Вас заинтересует
3 года назад
8 лет назад
11 лет назад
11 лет назад