1)найдите значение выражения:( цифры 3, 2 и 4 в квадратах)
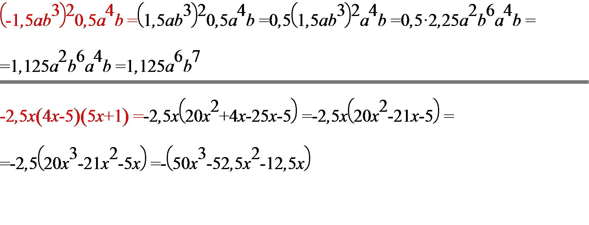
(-1.5ав 3)2 * 0.5а4в
2)Найдите значение выражения:
-2.5х(4х-5)-(2-3х)(5х+1)
Ответы
Ответ дал:
0
================================================================
Приложения:

Вас заинтересует
2 года назад
2 года назад
8 лет назад
8 лет назад
10 лет назад
10 лет назад
10 лет назад