Найдите значение выражения.
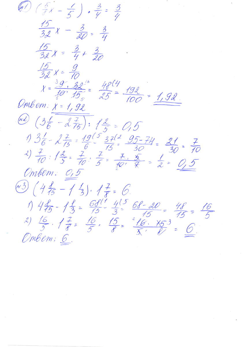
1) (5/8х - 1/5) * 3/4= 3/4
2) (3 1/6 - 2 7/15):1 2/5= ?
3) (4 8/15 - 1 1/3) * 1 7/8=?
Пожалуйста полный ответ. Заранее спасибо.
Ответы
Ответ дал:
0
Решение примеров на листе ниже
Приложения:
Вас заинтересует
3 года назад
3 года назад
8 лет назад
8 лет назад
11 лет назад
11 лет назад
11 лет назад