• Предмет: Алгебра
  • Автор: Kaims
  • Вопрос задан 10 лет назад

ПОМОГИТЕ ВЫЧИСЛИТЬ!!!

Приложения:

Ответы

Ответ дал: Матов
0
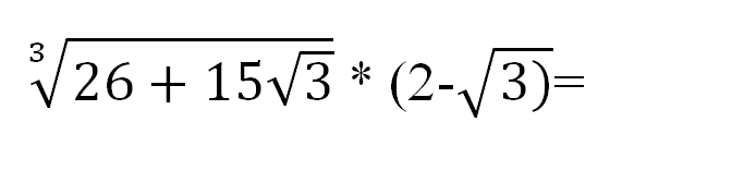
sqrt[3]{26+15sqrt{3}}*(2-sqrt{3})=\\
(2-sqrt{3})^3=26-15sqrt{3}\\
(2-sqrt{3})=sqrt[3]{26-15sqrt{3}}\\ 
sqrt[3]{(26+15sqrt{3})(26-15sqrt{3})}=\\
sqrt[3]{26^2-15^2*3}=sqrt[3]{1}=1
Вас заинтересует