Ответы
Ответ дал:
0
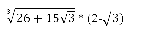
корень 3 степени это то же самое что степень 1/3. Мне удобней писать 1/3, поэтому :
((26+15√3)^(1/3))*(2-√3)
Работаем только с выражением которое стоит под корнем. Каждое его слагаемое можно разбить на сумму двух, так что бы нам было удобно. У нас корень 3 степени, поэтому удобно сделать куб суммы:
26+15√3=3√3+18+12√3+8=(√3)^3+3*((√3)^2)*2+3*√3*2^2+2^3=(√3+2)^3
Возвращаемся к примеру:
((√3+2)^3)^(1/3))*(2-√3)= (2+√3)*(2-√3)=4-3=1
Ответ:1
((26+15√3)^(1/3))*(2-√3)
Работаем только с выражением которое стоит под корнем. Каждое его слагаемое можно разбить на сумму двух, так что бы нам было удобно. У нас корень 3 степени, поэтому удобно сделать куб суммы:
26+15√3=3√3+18+12√3+8=(√3)^3+3*((√3)^2)*2+3*√3*2^2+2^3=(√3+2)^3
Возвращаемся к примеру:
((√3+2)^3)^(1/3))*(2-√3)= (2+√3)*(2-√3)=4-3=1
Ответ:1
Вас заинтересует
3 года назад
3 года назад
11 лет назад
11 лет назад