Ответы
Ответ дал:
0
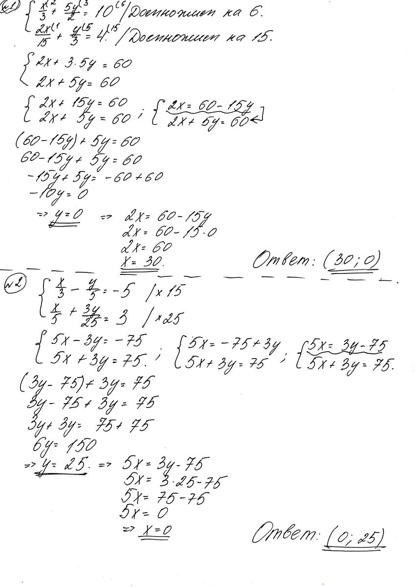
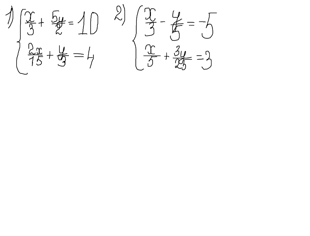
Первую систему лучше решить вычитанием,а вторую сложением.
1)х=30. 2)х=0
У=0. У=25
1)х=30. 2)х=0
У=0. У=25
Ответ дал:
0
Решение на листочке ниже
Приложения:

Вас заинтересует
2 года назад
2 года назад
10 лет назад
10 лет назад