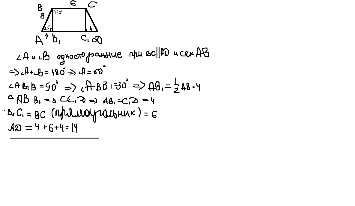
в равнобедренной трапеции ABCD с основаниями BC и AD угол B равен 120 градусов, BC=6, AB=8. найдите основание AD
Ответы
Ответ дал:
0
Всё решение на рисунке...
Приложения:

Вас заинтересует
2 года назад
8 лет назад
10 лет назад
10 лет назад