• Предмет: Математика
  • Автор: ДаШеНьКоО
  • Вопрос задан 10 лет назад

Помогите решить примеры!  Заранее большое спасибо)))
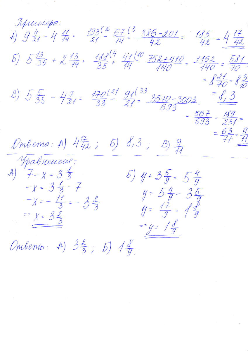
А) 9 целых 4/21 - 4 целых 11/14=....
Б)  5 целых 13/35 + 2 целых 13/14=...
В)  5 целых 5/33 - 4 целых 7/21=...
 
Уравнение:
А)  7 целых - x = 3 целых 1/3
Б)  y + 3 целых 5/9= 5 целых 4/9

Ответы

Ответ дал: 79068760054
0
Решение написано на листочке ниже
Приложения:
Ответ дал: ДаШеНьКоО
0
:)
Вас заинтересует