• Предмет: Алгебра
  • Автор: Kattterina
  • Вопрос задан 10 лет назад

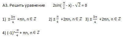
Тригонометрические уравнения с вариантами ответа. СРОЧНО! (3 примера)

Приложения:

Ответы

Ответ дал: mmb1
0
==================================
Приложения:
Вас заинтересует