Ответы
Ответ дал:
0
tg(-x)=-1
tgx=1
x=π/4+πN ответ 1
--------------------
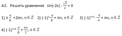
sin(-2x)=√2/2
sin(2x)=-√2/2
2x=(-1)^(n+1)π/4+πN
x=(-1)^(n+1)π/8+π/2N ответ 4
tgx=1
x=π/4+πN ответ 1
--------------------
sin(-2x)=√2/2
sin(2x)=-√2/2
2x=(-1)^(n+1)π/4+πN
x=(-1)^(n+1)π/8+π/2N ответ 4
Вас заинтересует
3 года назад
3 года назад
8 лет назад
8 лет назад
11 лет назад
11 лет назад