• Предмет: Физика
  • Автор: ludmilazubkova
  • Вопрос задан 10 лет назад

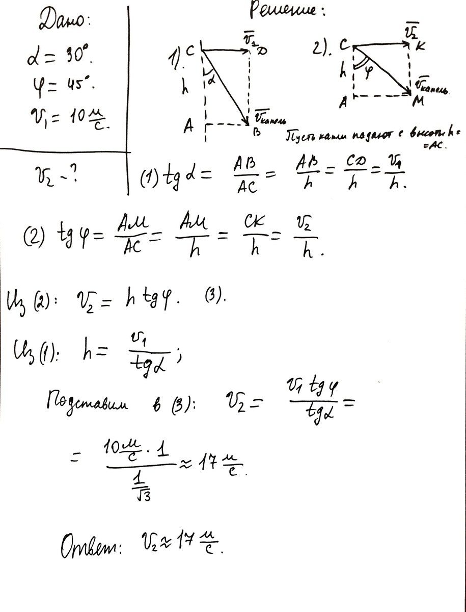
капли дождя падают под углом 30 градусов к вертикали при скорости ветра 10 м/с. Какова должна быть скорость ветра, чтобы капли падали под углом 45 градусов?

Ответы

Ответ дал: Maksim2009rus
0
Решение задачи во вложениях. Удачи)
Приложения:
Вас заинтересует