• Предмет: Математика
  • Автор: Lala15
  • Вопрос задан 10 лет назад

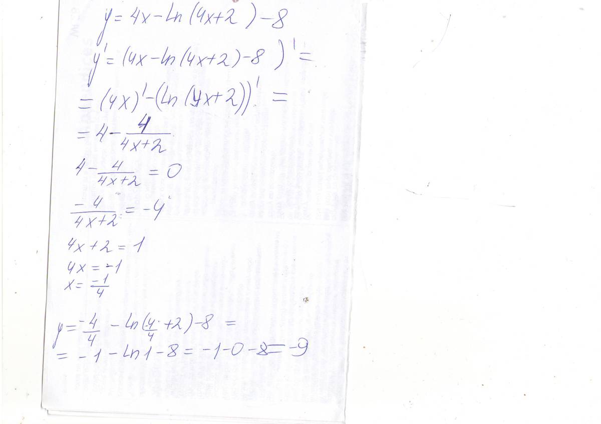
найдите наименьшее значение функции y=4x-ln(4x+2)-8

Ответы

Ответ дал: НаS3
0
-9 и получается.Тут кратко все.Но механизм, надеюсь, понятен.
Приложения:
Ответ дал: Верочка1995
0
а тут разве не будет вот так . 4-1/4х+2 ? объясни пожалуйста
Вас заинтересует