• Предмет: Алгебра
  • Автор: маркина
  • Вопрос задан 10 лет назад

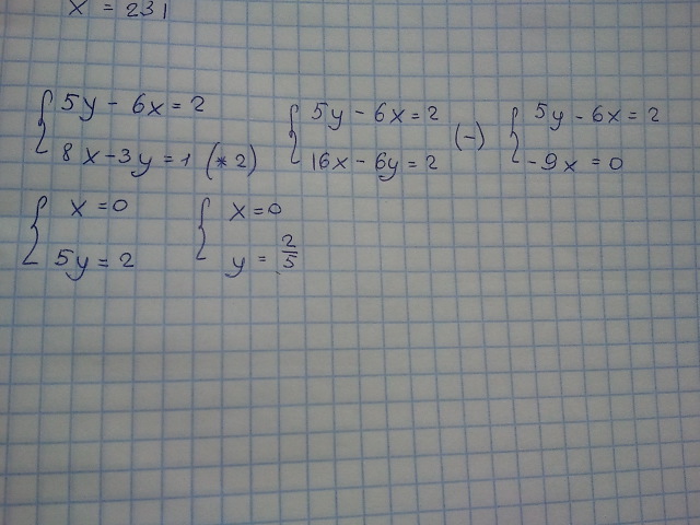
решите систему уравнений
5у-6х=2
8х-3у=1

Ответы

Ответ дал: simpotyashko
0
пожалуйста:-) :-) :-)
Приложения:
Ответ дал: маркина
0
а там же одно нужно выражать через другое
Ответ дал: simpotyashko
0
исчезнит у, из оставшегося находим х,потом подставляем и находим у
Ответ дал: simpotyashko
0
можно по разному
Ответ дал: маркина
0
а как так напишите
Вас заинтересует