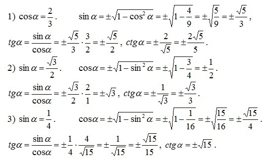
1) как найти sin (a), tg (a), ctg (a) если cos(a)=2/3 2)как найти cos(a), tg (a), ctg (a) если sin (a)=√3/2
3)как найти cos(a), tg (a), ctg (a) если sin (a)=1/4
Ответы
Ответ дал:
0
Решение в приложении.
Приложения:

Вас заинтересует
2 года назад
2 года назад
8 лет назад
8 лет назад
10 лет назад
10 лет назад
10 лет назад
10 лет назад