• Предмет: Алгебра
  • Автор: Надина15
  • Вопрос задан 10 лет назад

Помогите пожалуйста! Подробно если можно))) Всё задание в картинке.

Приложения:

Ответы

Ответ дал: NNNLLL54
0
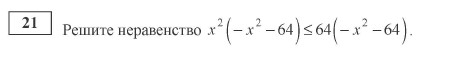
x^2(-x^2-64) leq 64(-x^2-64)\\x^2(-x^2-64)-64(-x^2-64) leq 0\\(-x^2-64)(x^2-64) leq 0\\-(x^2+64)(x^2-64) leq 0; |cdot (-1)\\(x^2+64)(x^2-64) geq 0\\x^2+64>0; pri; xin R; ; to ; ; x^2-64 geq 0\\(x-8)(x+8) geq 0\\+ + + + +(-8)- - - - -(8)+ + + + + +\\xin (-infty,-8]U[8,+infty)
Вас заинтересует