• Предмет: Математика
  • Автор: sansants01
  • Вопрос задан 10 лет назад

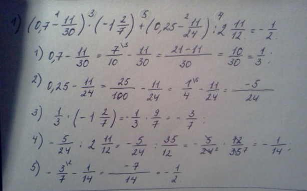
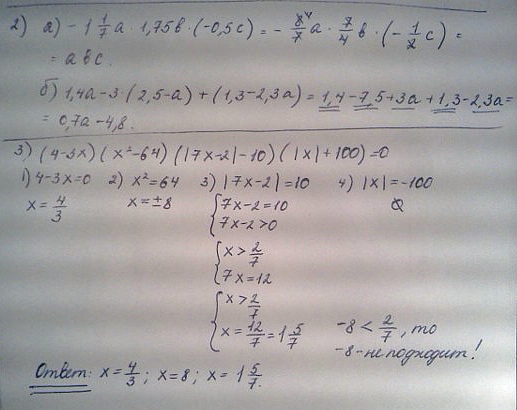
Решите номер 3 пожалуйста

Приложения:

Ответы

Ответ дал: dasha00000000000
0
Решение прикреплено файлами!
Приложения:
Вас заинтересует