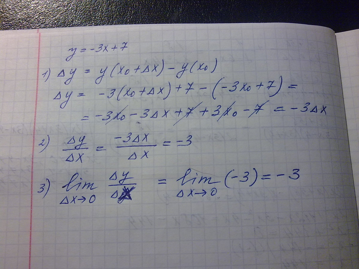
Для функции y=-3x+7 найдите:
1) Приращение функции Δy при переходе от точки x0 к точке x0+Δх
2) отношение приращение функции Δy к приращению аргумента Δх
3) передел отношения приращения функции к приращению аргумента при Δх─>0
Ответы
Ответ дал:
0
..............................
Приложения:

Вас заинтересует
2 года назад
8 лет назад
8 лет назад
10 лет назад
10 лет назад