• Предмет: Геометрия
  • Автор: toto46
  • Вопрос задан 10 лет назад

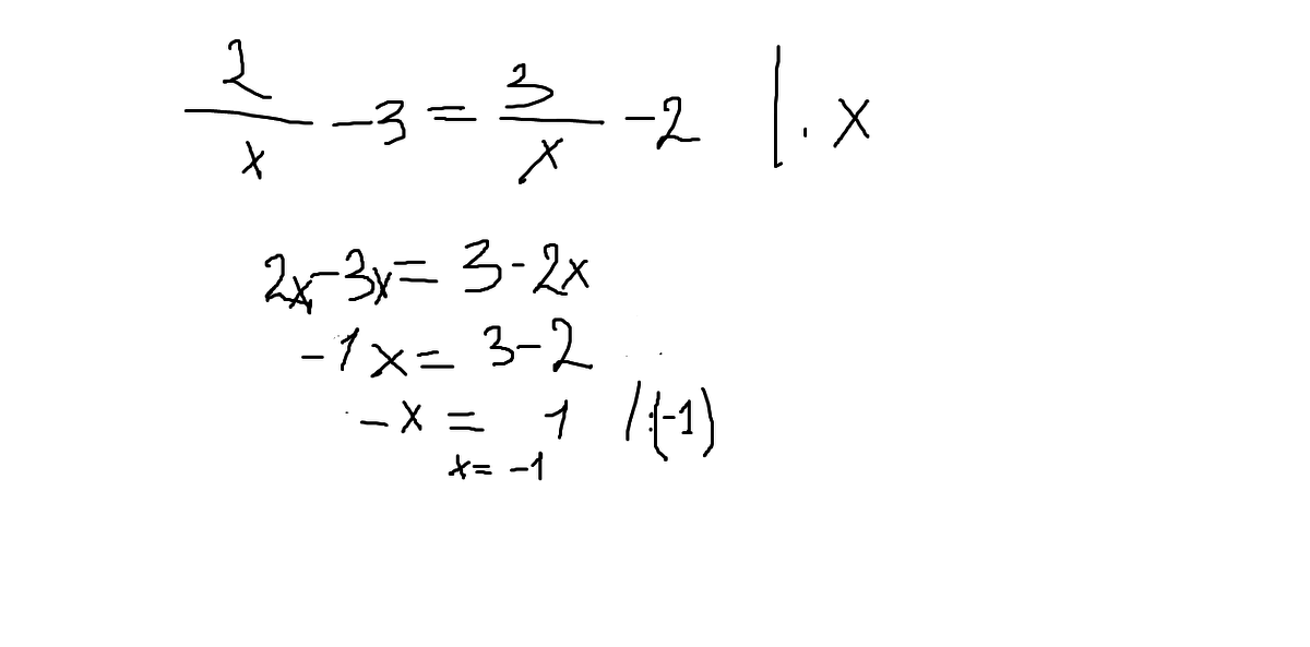
решите уравнение 2/х-3=3/х-2

Ответы

Ответ дал: Аноним
0
ответ в файле:
2/х-3=3/х-2
Приложения:
Вас заинтересует