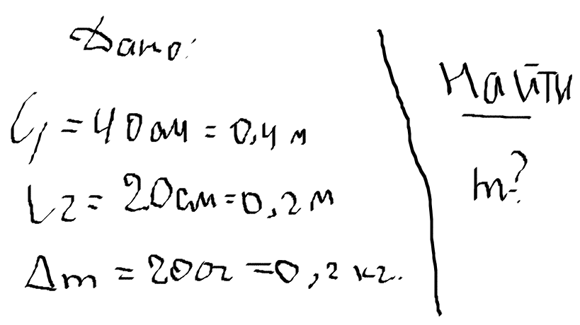
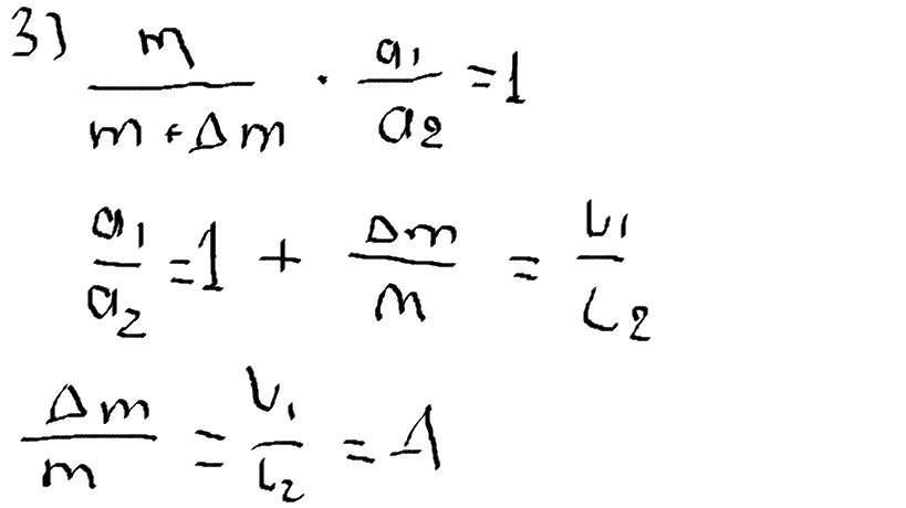
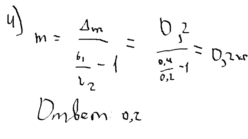
Под действием какой-то силы тележку, двигаясь из состояния покоя, прошла путь 40см. Когда на тележку положили груз 200г, то под действием той же силы и за то же время тележка прошла из состояния покоя путь 20см. Какая масса тележки?
Під дією якоїсь сили візок, рухаючись із стану спокою, пройшов шлях 40см. Коли на візок поклали вантаж 200г, то під дією тієї ж самої сили і за той самий час візок пройшов із стану спокою шлях 20см. Яка маса візка?
Ответы
Ответ дал:
0
Надеюсь мой почерк понятен ;)
Приложения:




Вас заинтересует
2 года назад
2 года назад
7 лет назад
10 лет назад
10 лет назад