• Предмет: Алгебра
  • Автор: Аноним
  • Вопрос задан 11 лет назад

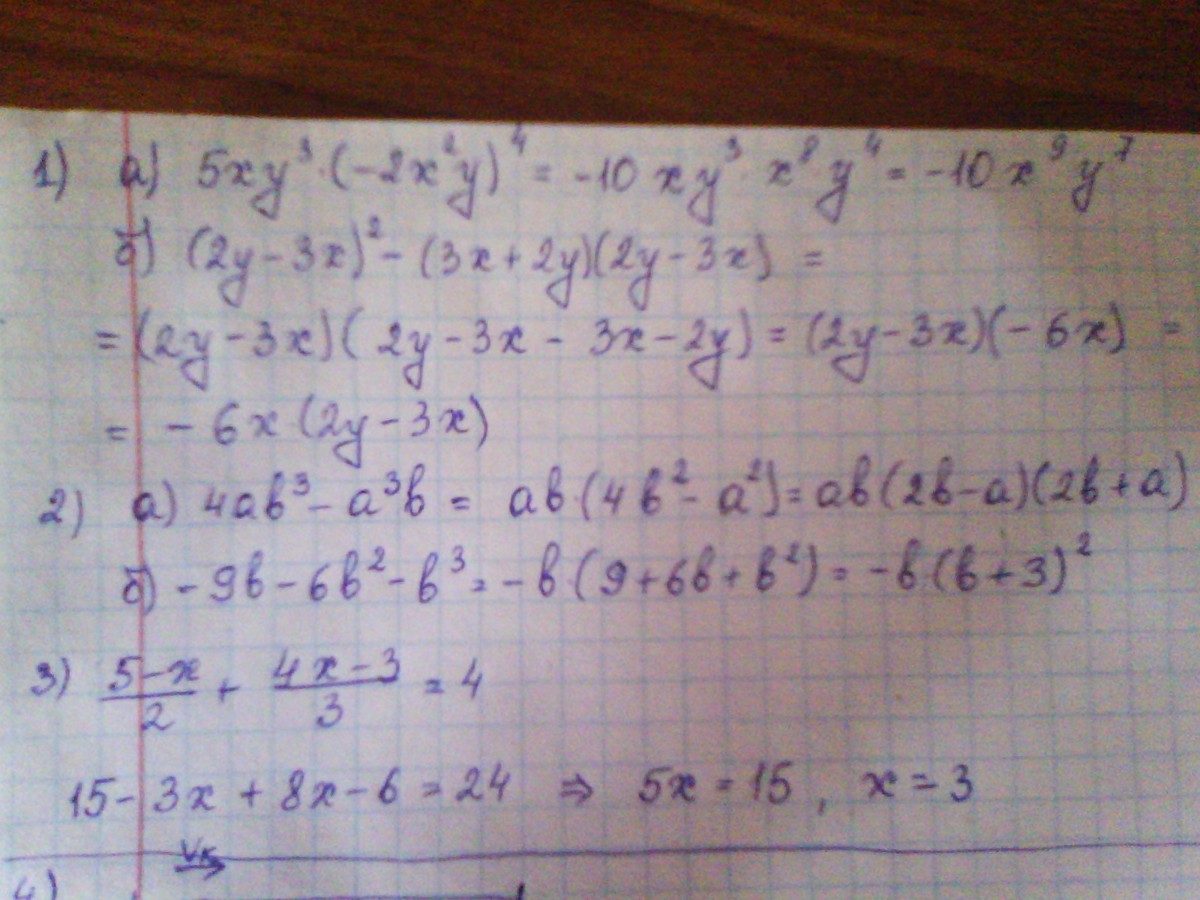
1.а)5ху²-(-2х²y)^4
   б)(2y-3х)^2-(3х+2у)(2у-3х)

2.Разложите на множители:

   а) 4ab³-a³b;  б) -9b-6b²-b³

3.Решите уравнение:
5-х  4х-3
___+____= 4
2         3 

4.

Решите задачу: расстояние по реке между пунктами А и В туда и обратно катер проходит за 8 часов. Найдите это расстояние, если собственная скорость катера 8км/ч а скорость течения 2км/ч.

5.

Постройте график функции y=3x-5. Найдите координаты точки пересечения этого графика с прямой y=x+83.


Приложения:

Ответы

Ответ дал: Аноним
0

Решения приведены во вложениях

 

Приложения:
Вас заинтересует