Ответы
Ответ дал:
0
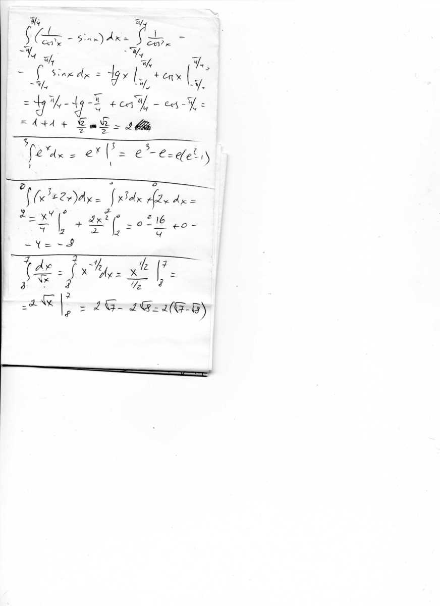
1) 2
2) e(e^2 - 1)
3) не виден нижний предел интегрирования, пусть он равен а ==> интеграл равен -1*[(а^4)/4 + a^2]
4)6*sqrt(3) - 4*sqrt(2)
Все функции табличные, интегралы берущиеся, никакого решения не требуется, смотри в таблицу, находи первообразную, подставляй пределы.
2) e(e^2 - 1)
3) не виден нижний предел интегрирования, пусть он равен а ==> интеграл равен -1*[(а^4)/4 + a^2]
4)6*sqrt(3) - 4*sqrt(2)
Все функции табличные, интегралы берущиеся, никакого решения не требуется, смотри в таблицу, находи первообразную, подставляй пределы.
Ответ дал:
0
ТАМ -1
Ответ дал:
0
тогда возьми а за -1 и подставь в формулу, будет ответ
Ответ дал:
0
2√x от 8 до 27=2√27-2√8=6√3-4√2
======================================
======================================
Приложения:

Ответ дал:
0
в последнем 27, а не 7.
Ответ дал:
0
изменил
Ответ дал:
0
спасибо)
Вас заинтересует
2 года назад
2 года назад
8 лет назад
8 лет назад
10 лет назад
10 лет назад
10 лет назад