Ответы
Ответ дал:
0
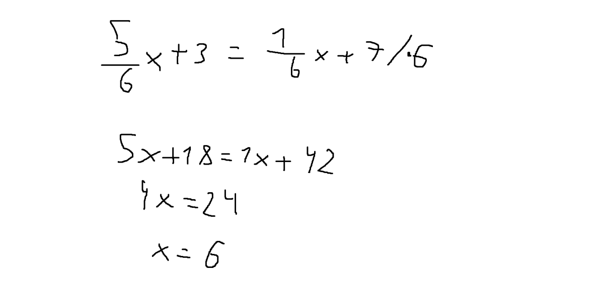
5/6x+3=1/6x+7
5/6x - 1/6x= 7-3
4/6x=4
2/3x=4
x=4: 2/3
х=6
5/6x - 1/6x= 7-3
4/6x=4
2/3x=4
x=4: 2/3
х=6
Ответ дал:
0
Приводим к общему множителю чтобы избавиться от дроби и сделать обычное линейное уравнение, как видим везде один множитель 6, у тройки и семерки один. Умножаем попутно сокращая, например 6(5x)/6 как мы видим можно просто сократить 6 и оставить просто 5x, дальше 6*3 здесь ничего сокращать нельзя, так и оставляем
повторяем алгоритм в правой части. Потом иксы вправо, а числа влево, с заменой знаков, был плюс стал минус. Складываем/вычитаем. Получается обычное тождество.
повторяем алгоритм в правой части. Потом иксы вправо, а числа влево, с заменой знаков, был плюс стал минус. Складываем/вычитаем. Получается обычное тождество.
Приложения:
Вас заинтересует
3 года назад
3 года назад
8 лет назад
10 лет назад
10 лет назад
11 лет назад