• Предмет: Математика
  • Автор: Аноним
  • Вопрос задан 10 лет назад

Помогите решить!!!!!!!!!!!!

Приложения:

Ответы

Ответ дал: Аноним
0
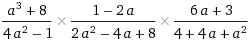
 frac{a^{3}+8}{4a^{2}-1} * frac{1-2a}{2a^{2}-4a+8} * frac{6a+3}{4+4a+a^{2}} = \ 
 frac{(a+2)(a^{2}-2a+4)*(1-2a)*3(2a+1)}{(2a-1)(2a+1)*2(a^{2}-2a+4)*(a+2)^{2}} = \ 
 - frac{(a+2)(a^{2}-2a+4)*(2a-1)*3(2a+1)}{(2a-1)(2a+1)*2(a^{2}-2a+4)*(a+2)^{2}} = \ 
- frac{1*1*1*3*1}{1*1*2*1*(a+2)}=- frac{3}{2(a+2)}   \
Ответ дал: CVita
0
 frac{a^3+8}{4a^2-1}* frac{1-2a}{2a^2-4a+8}* frac{6a+3}{4+4a+a^2}= \  \  frac{a^3+2^3}{4a^2-1^2}* frac{1-2a}{2(a^2-2a+4)}* frac{6a+3}{(2+a)^2}= \  \  frac{(a+2)(a^2-2a+4)}{(2a-1)(2a+1)}* frac{1-2a}{2(a^2-2a+4)}* frac{3(2a+1)}{(2+a)^2}= \  \  frac{1}{2a+1}* frac{(-1)}{2}* frac{3(2a+1)}{2+a}  = \  \ 1*(- frac{1}{2})* frac{3}{2+a}=- frac{3}{4+2a}
Вас заинтересует