• Предмет: Математика
  • Автор: terrymilk367
  • Вопрос задан 11 лет назад

Помогите пожалуйста! срочно

файл внутри

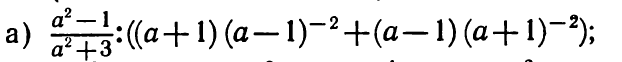
задание упростить выражениее

Приложения:

Ответы

Ответ дал: GREENDEY
0

(а² - 1) / (а² + 3) : ((а + 1)(а - 1)-² + (а - 1)(а + 1)-²) =

   

      а² - 1               а + 1             а - 1                      

= ________  :   (   _______   +   ______      )    =

     а² + 3              (а - 1)²          (а + 1)²

 

    а² - 1                  ( а + 1)³  +  (а - 1)³                  а² - 1                (а - 1)²(а + 1)²

= ________  :     ______________________     =   ________   *       _______________         =

    а² + 3                        (а - 1)²(а + 1)²                  а² + 3             ( а + 1)³  +  (а - 1)³

 

           а² - 1                                       ((а - 1)(а + 1))²

=    ________   *   ________________________________________________=

         а² + 3           (а + 1 + а - 1)(   (а + 1)²  -  (а - 1)(а + 1) + (а - 1)²)

 

         а² - 1                                       (а² - 1)²

=    ________   *   ____________________________________    =

         а² + 3            2а *  ( а² +2а+1  -  (а² - 1) +  а²- 2а+1)

 

           а² - 1                (а² - 1)²

=    ________   *   __________________________   = 

         а² + 3            2а *  ( 2 а² +  2  -  а² + 1)

 

           а² - 1                (а² - 1)²                                          ( а² - 1 )³

=    ________   *   __________________________   =  ___________________

         а² + 3            2а *  ( а² + 3 )                                   2а *  ( а² + 3 )²

Вас заинтересует