• Предмет: Алгебра
  • Автор: Колина
  • Вопрос задан 11 лет назад

алгебра 9 класс, примеры, срочно!!!

Приложения:

Ответы

Ответ дал: UluanaV
0
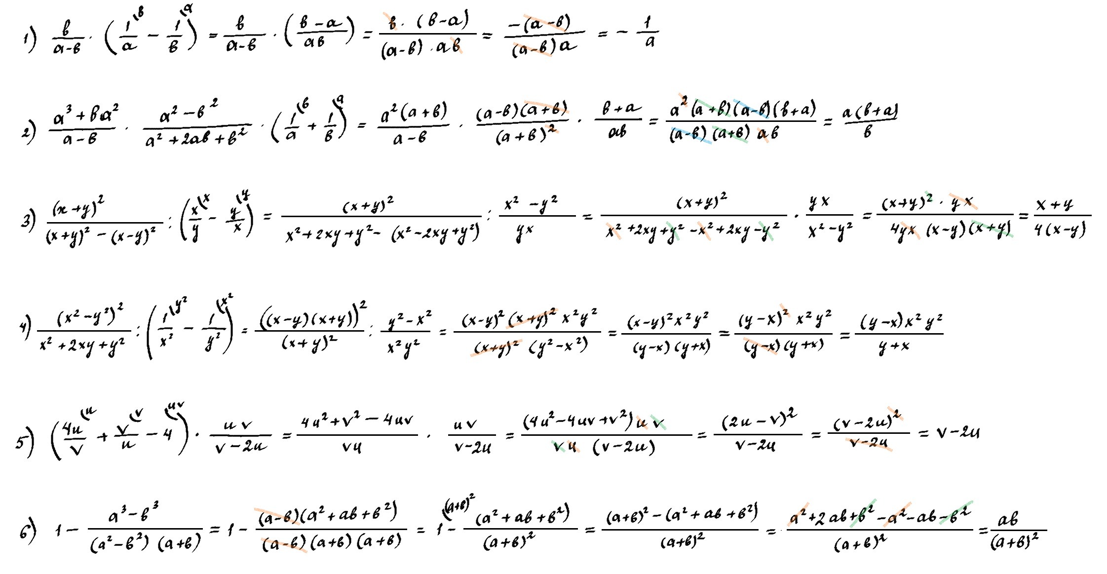
Решение в прикрепленном файле.
Приложения:
Вас заинтересует