Решите ПОЖАЛУЙСТА упражнения 133-1345 на фотографии...Решайте для 5 класса....!!!!!!!!!!!!!!!!!!!!!!!!!! И без всяких недочётов!!!!!!!!!И ГЛАВНОЕ ПОЖАЛУЙСТА ДЛЯ 5 КЛАССА!!!!!!!!!!!!!!!!!!!!!!∞∞∞∞∞∞∞∞____________________________________________
Приложения:

Ответы
Ответ дал:
0
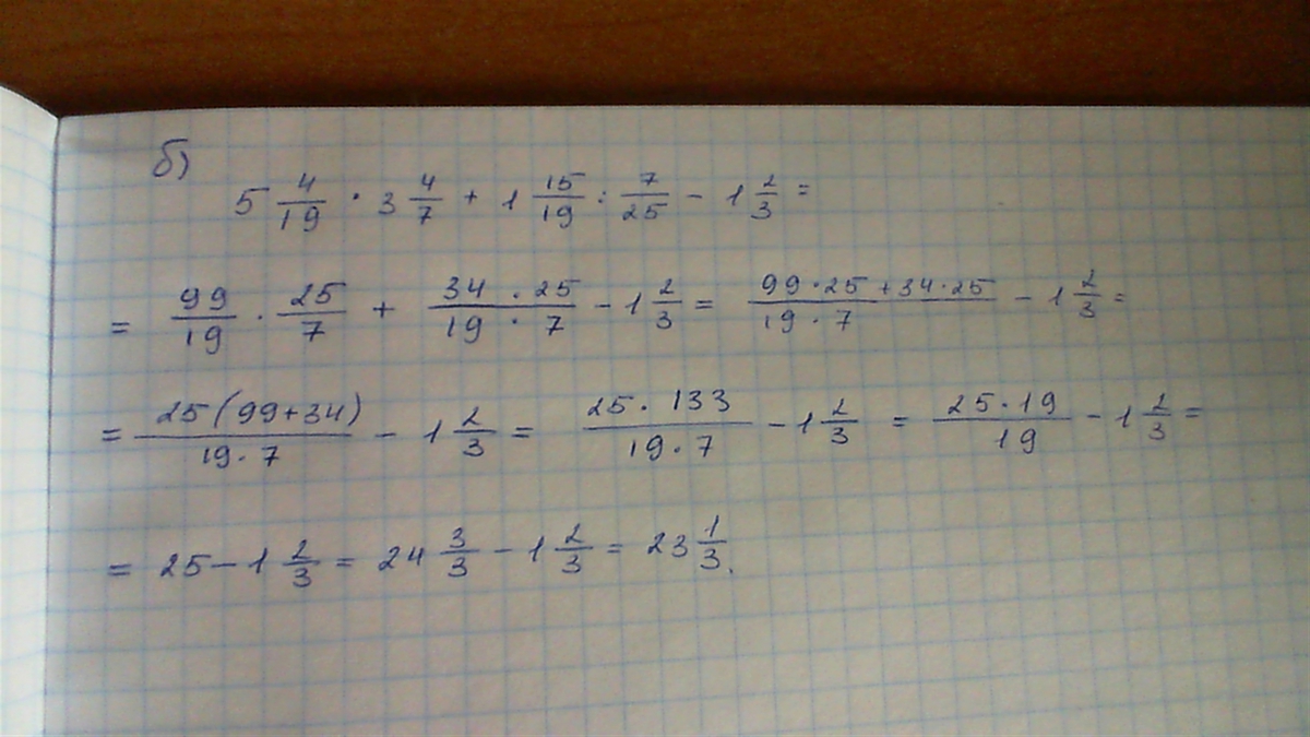
Лови решение^^
Вроде бы верно, я проверяла.
Вроде бы верно, я проверяла.
Приложения:



Вас заинтересует
2 года назад
7 лет назад
7 лет назад
10 лет назад
10 лет назад
10 лет назад