Ответы
Ответ дал:
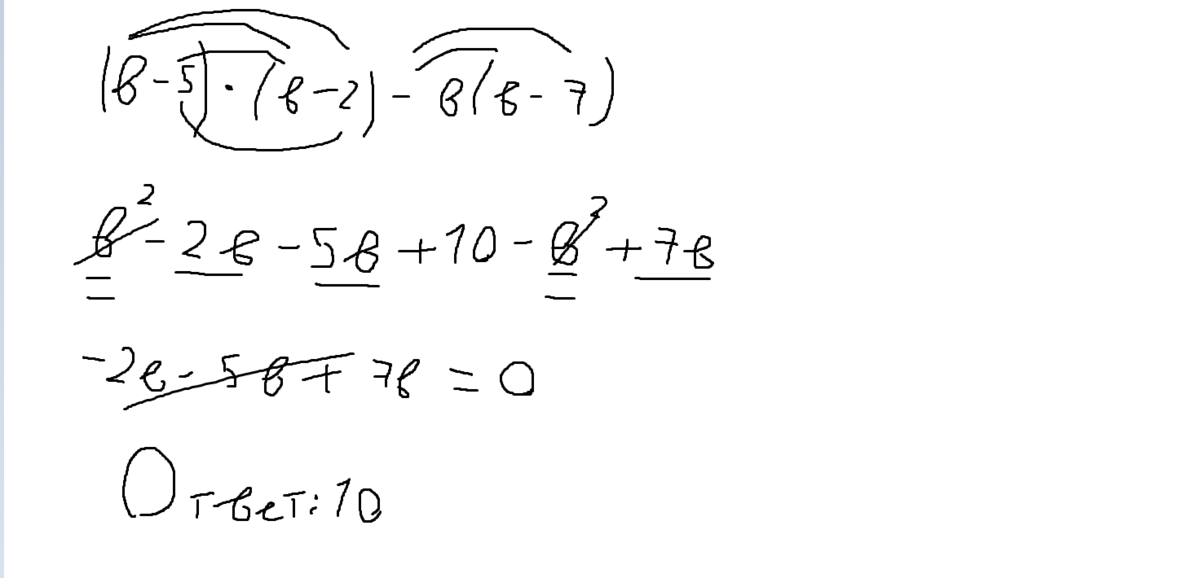
0
Такие дела, значение в тут не оказалось нужным)
Приложения:

Вас заинтересует
2 года назад
2 года назад
7 лет назад
7 лет назад
10 лет назад
10 лет назад