• Предмет: Алгебра
  • Автор: Аноним
  • Вопрос задан 10 лет назад

помогите)))))))))))))))))))

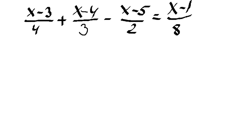
Приложения:

Ответы

Ответ дал: mmb1
0
===================================-13
Приложения:
Вас заинтересует