найти корни ах2+bх+с=0

 

(если что икс в квадрате)

Ответы

Ответ дал: Violochka
0

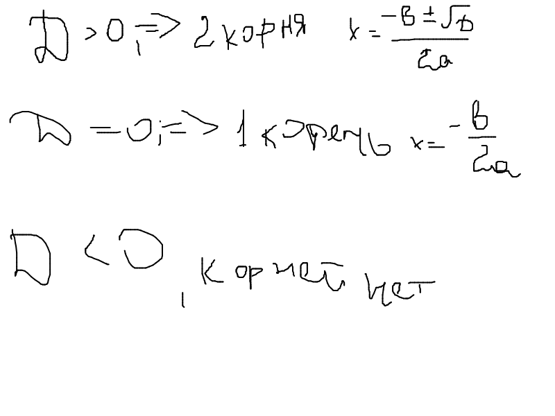
В вложении предоставленно решение

Приложения:
Ответ дал: Lyuboveta
0

 

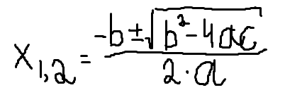
 x_{1,2}=frac{-b+/-sqrt{b^2-4ac}}{2a}

 

Приложения:
Вас заинтересует