• Предмет: Алгебра
  • Автор: Dodonova
  • Вопрос задан 11 лет назад

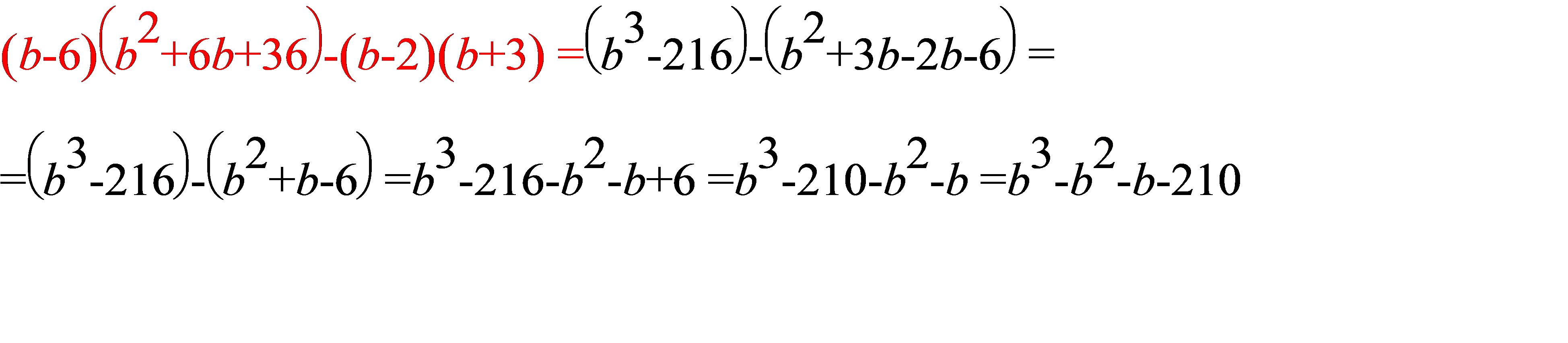
Преобразуйте в многочлен: (b-6)*(b^2+6b+36)-(b-2)*(b+3)

Пояснения:

 

^2 - в квадрате
* - умножить

Ответы

Ответ дал: triolana
0

==================================

Приложения:
Вас заинтересует