• Предмет: Химия
  • Автор: oksana112
  • Вопрос задан 10 лет назад

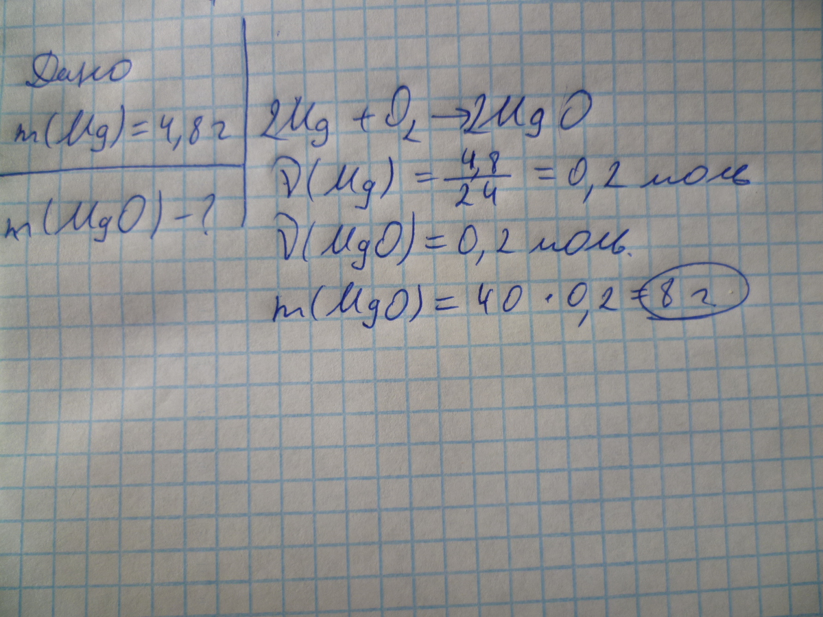
Сколько граммов оксида магния получится при взаимодействии магния массой 4,8 г. с кислородом!

Ответы

Ответ дал: vyacheslavkule
0
.......................................................................................................
Приложения:
Вас заинтересует