• Предмет: Математика
  • Автор: goodula
  • Вопрос задан 10 лет назад

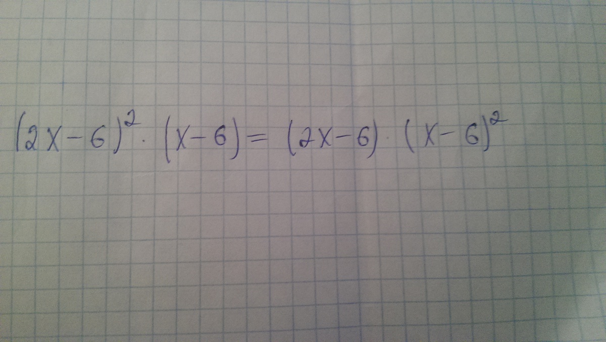
Решить уравнение за 9 класс

Приложения:

Ответы

Ответ дал: chudz
0
(2x-6)^2(x-6)=(2x-6)(x-6)^2\
(2x-6)^2(x-6)-(2x-6)(x-6)^2=0\
(2x-6)(x-6)(2x-6-(x-6))=0\
2(x-3)(x-6)x=0\
x-3=0,,,, x-6=0,,,,,,x=0\
x=3,,,x=6,,,x=0
Вас заинтересует