• Предмет: Алгебра
  • Автор: Julieya2000
  • Вопрос задан 10 лет назад

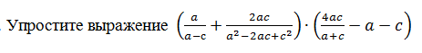
Кто может,помогите,пожалуйста!Если можно,то с решением.

Приложения:

Ответы

Ответ дал: waska59rus
0
=a/(a-b) / ((a+b)*(a-b)+b^2) / (a-b)*b= (a*(a-b)*b) / ((a-b)*(a+b)*(a-b)+b^2)=(a*b) / ((a^2-b^2)+b^2)=(a*b) / (a^2-b^2+b^2)= b/a 
Вас заинтересует