Ответы
Ответ дал:
0
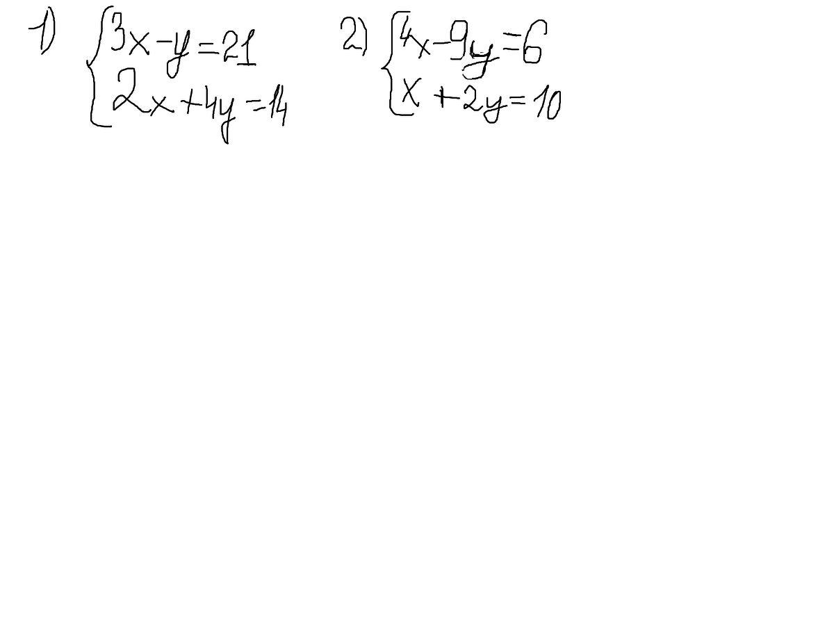
3х-у=21
2х+4у=14
домножим первое на 4
12х-4у=84
2х+4у=14
сложим
14х=98
х=7
у=3х-21= 21-21=0
4х-9у=6
х+2у=10
домножим второе на -4
4х-9у=6
-4х-8у=-40
сложим
-17у=-34
у=2
х=10-2у=10-4=6
2х+4у=14
домножим первое на 4
12х-4у=84
2х+4у=14
сложим
14х=98
х=7
у=3х-21= 21-21=0
4х-9у=6
х+2у=10
домножим второе на -4
4х-9у=6
-4х-8у=-40
сложим
-17у=-34
у=2
х=10-2у=10-4=6
Ответ дал:
0
а?
Вас заинтересует
3 года назад
3 года назад
8 лет назад
11 лет назад
11 лет назад
11 лет назад
11 лет назад