Ответы
Ответ дал:
0
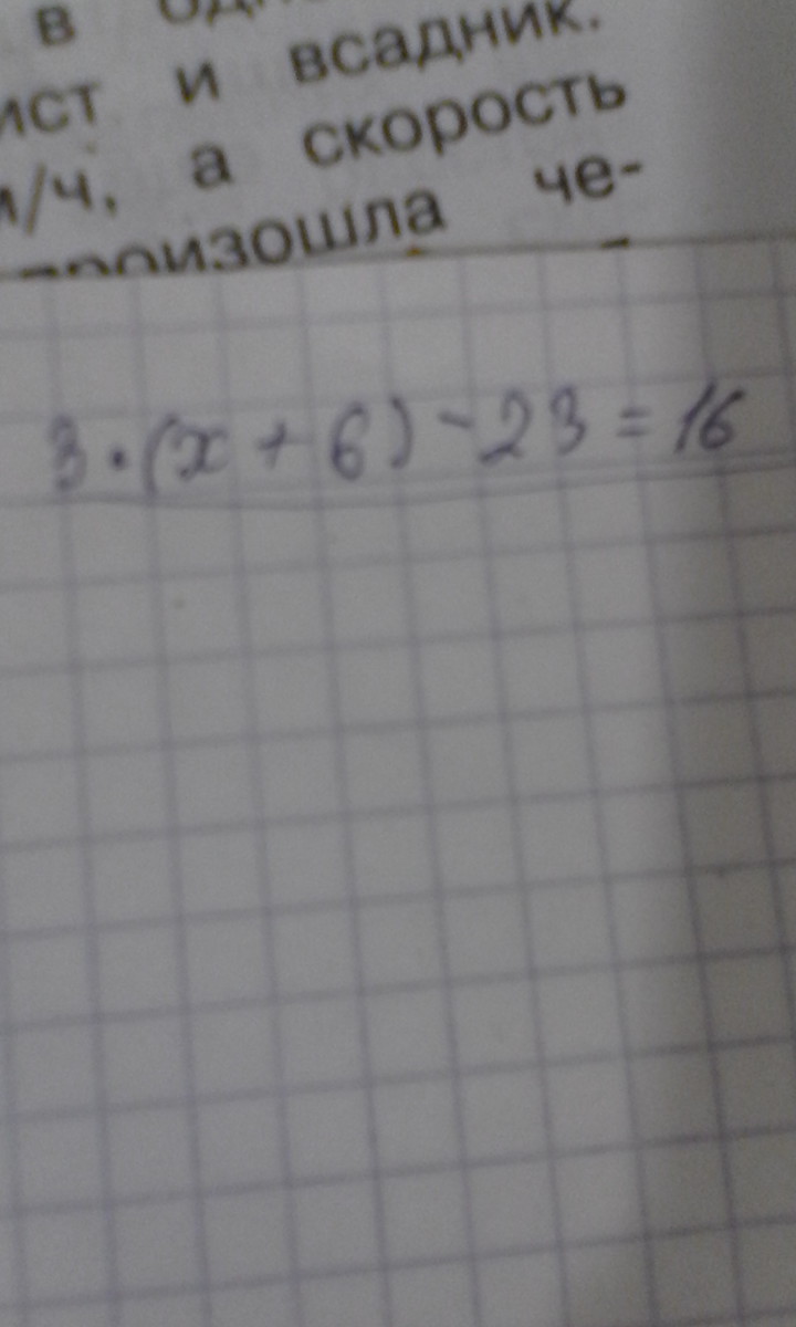
3(х+6)-23=16
3х+18-23=16
3х=16-18+23
3х=21
х=21:3
х=7
3х+18-23=16
3х=16-18+23
3х=21
х=21:3
х=7
Ответ дал:
0
3*(x+6)=23+16
3*(x+6)=39
x+6=39:3
x+6=13
x=13-6
x=7
3*(x+6)=39
x+6=39:3
x+6=13
x=13-6
x=7
Вас заинтересует
3 года назад
8 лет назад
8 лет назад
11 лет назад
11 лет назад
11 лет назад