• Предмет: Геометрия
  • Автор: Antonio112009
  • Вопрос задан 11 лет назад

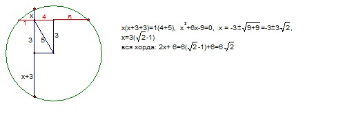
в окружности проведены две взаимно перпендикулярные хорды.Хорда, длина которой 10 , удалена от центра окружности на расстояние 3.Найдите длину другой хорды,если известно, что точка пересечения хорд удалена на расстояние 5.

Ответы

Ответ дал: okneret
0

применена теорема Пифагора, свойство отрезков пересекающихся хорд, свойство взаимно перпендикулярных хорд

Приложения:
Вас заинтересует