Ответы
Ответ дал:
0
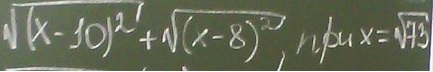
sqrt((sqrt(73)-10)^2)+sqrt((sqrt(73)-8)^2)
sqrt(73-20sqrt(73)+100)+sqrt(73-16sqrt(73)+64)
sqrt(173-20sqrt(73))+sqrt(137-16sqrt(73))
и все это равно 2
sqrt(73-20sqrt(73)+100)+sqrt(73-16sqrt(73)+64)
sqrt(173-20sqrt(73))+sqrt(137-16sqrt(73))
и все это равно 2
Вас заинтересует
3 года назад
8 лет назад
8 лет назад
10 лет назад
10 лет назад
11 лет назад