• Предмет: Геометрия
  • Автор: pollyclet
  • Вопрос задан 11 лет назад

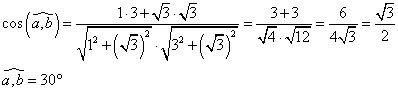
найдите угол между векторами a и b,заданными своими координатами a(1;sqrt3)и b(3;sqrt3)

Ответы

Ответ дал: Аноним
0

Решение во вложении. Обращайтесь.

Приложения:
Вас заинтересует