• Предмет: Алгебра
  • Автор: MilaStasia
  • Вопрос задан 10 лет назад

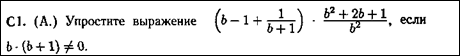
Упростите выражение, если b(b+1) не равно 0. Если можно, то с подробным объяснением, до меня трудно доходит х) 

Приложения:

Ответы

Ответ дал: Isoldee
0
Вот,только одно меня смущает,что мне никак не пригодилось b(b+1) не равно 0.Ну а так вроде все сошлось.
Приложения:
Вас заинтересует